2014年一级建造师《建筑工程管理与实务》考点提分试卷四

发布时间:2014-07-22 共1页

三、案例分析题(共5题,(一)、(二)、(三)题各20分,(四)、(五)题各30分)
31、背景

某5层商住楼,总建筑面积8 500m2,框架结构。通过公开招标,业主分别与承包商、监理单位签订了工程施工合同、委托监理合同。工程开、竣工时间分别为当年4月1日和12月25日。承、发包双方在专用条款中,对工程变更、工程计量、合同价款的调整及工程款的支付等都作了规定。约定采用工程量清单计价,工程量增减的约定幅度为10%。
对变更合同价款确定的程序规定如下:
(1)工程变更发生后7d内,承包方应提出变更估价申请,经工程师确认后,调整合同价款;
(2)若工程变更发生后7d内,承包商不提出变更估价申请,则视为该变更不涉及价款变更;
(3)工程师自收到变更价款报告之日起7d内应对此予以确认。若无正当理由不确认时,自报告送达之日起14d后报告自动生效。
承包人在5月6日进行工程量统计时,发现原工程量清单漏项1项;局部基础形式发生变更1项;相应地,有2项清单项目工程量减少在5%以内,工程量比清单项目超过6%的2项,超过10%的1项,当即向工程师提出了变更报告。工程师在5月14日确认了该三项变更。5月20日向工程师提出了变更工程价款的报告,工程师在5月25日确认了承包人提出的变更价款报告。
问题
(1)从确定合同价格的方式看,本例合同属于哪一类?
(2)合同中所述变更价款的程序规定有何不妥之处?应该怎样处理?
(3)按《建设工程工程量清单计价规范》GB 50500-2013的规定,当工程量发生变更时,如何调整相应单价?

32、 背景
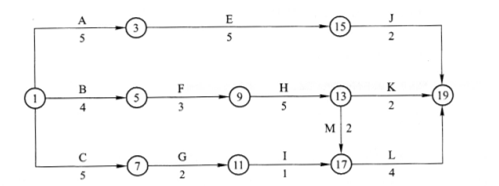
某工程项目合同工期为18个月,施工合同签订以后,施工单位编制了一份初始网络计划,如下图所示:

由于该工程施工工艺的要求,设计计划中工作C、工作H和工作J需共用一台特殊履带吊装起重机械,为此需要对初始网络计划作调整。
工作G完成后,由于业主变更施工图纸,使工作1停.工待图2个月。但业主要求仍按原合同工期完工,施工单位向业主索赔I工作赶工费用3万元(已知工作赶工费每月1.5万元)。
问题
(1)绘出调整后的网络进度计划图。
(2)如果各项工作均按最早时间安排,起重机械在现场闲置时间?并说明理由。
(3)为减少机械闲置,工作C应如何安排?并说明理由。
(4)施工单位向业主索赔赶工费3万元是否成立?并说明理由。


33、 背景
某会议中心新建会议楼工程,为保证室内外装饰效果,经研究决定,装修工程采取单独招标、独立发包,采用公开招标的形式确定施工队伍,建设单位与施工单位按照《建设工程施工合同(示范文本)》(GF-2013-0201)签订了装饰装修施工合同。
招标阶段,在招标文件中明确了如下部分条款:
(1)报价采用工程量清单模式。
(2)结合招标公司提供的工程量清单,各家单位应对现场进行详细的实地踏勘,所报价格为综合单价,视为已经考虑了各种综合因素。
(3)本工程装饰施工期适逢奥运会。无论哪家中标,建设单位都理解为中标单位的报价已综合考虑了停工因素,保证不因此情况追加工程款。
(4)主要装饰部位的石材由建设单位供货,其他材料由施工单位自行采购。
施工过程中发生如下事件:
事件一:施工单位进场后,发现大堂标高为8.7m,报告厅标高为5.6m,比预计难度有所提高,于是提出工程变更洽商申请,要求增加高支模脚手架搭设费用要求。
事件二:由于特殊原因,奥运会测试赛提前进行,建设单位通知施工单位提前停工。施工单位提出提前停工费用的索赔。
事件三:施工进行到20d时,由于设计变更,造成工程停工9d;施工进行到44d时,该地遭受罕见暴风雨袭击,施工无法进行,延误工期2d;施工进行到92d时,因业主方石材不能到场使非关键线路上某工作延误达1Od(该212f9总时差4d);施工进行到154d时,由于其他材料进场不及时,延误工期2d;针对上述所有事项,施工单位均在规定时间内向业主提出索赔意向通知,并附相关证明材料和计算依据。
问题
(1)事件一中:建设单位是否应支付高支模架脚手架费用?并说明理由。
(2)事件二中:建设单位应否支付工程提前停工费用?并说明理由。
(3)事件三中:分别分析施工单位提出的各项索赔是否成立?并说明理由。
(4)事件三中:施工单位最后得到的土期索赔应是多少天?


34、背景
坑边6m处有一栋6层既有住宅楼。基坑土质状况从地面向下依次为:
(1)杂填土0~2m;
(2)粉质土2~5m;
(3)砂质土5~10m;
(4)黏土10~12m。
上层滞水水位在地表以下5m(渗透系数为0.5m/d),地表下18m以内无承压水。基坑支护设计采用灌注桩加锚杆。施工前,建设单位为节约投资,指示更改设计,除南侧外其余三面均采用土钉墙支护,1:0.1放坡开挖。基坑在开挖过程中,北侧支护出现变形,但一直没有引起注意,最终导致北侧支护部分坍塌。事故调查中发现:
(1)基坑工程为专业分包,施工总承包单位督促专业分包单位针对深基坑组织编制了专项施工方案,并指示基坑分包单位组织了专家论证,定稿后由总承包单位项目总工、总监理工程师签批后组织实施;
(2)施工总承包单位及基坑分包单位均未有健全的安全管理制度文件;
(3)开挖过程中,由于现场场地狭小,同时在基坑顶堆放材料及设置加工场;
(4)施工过程中,无有效降水措施,仅采用坑底明排,且时断时续;
(5)施工过程中总承包单位对深基坑作业相关人员仅有安全检查记录,无交底记录及培训教育纪录等其他记录资料。总承包单位认为均应由专业分包单位完成。
问题
(1)本工程基坑最小降水深度应为多少?降水宜采用何种方式?
(2)该基坑坍塌的直接原因是什么?从技术方面分析,造成该基坑坍塌的可能因素有哪些(至少列出三条)?
(3)根据《建筑施工安全检查标准》JGJ 59-2011基坑支护安全检查评分表的要求,针对本基坑支护工程,总承包单位应检查哪些项目?
(4)深基坑专项施工方案编制、签批、专家论证是否妥当?分别说明理由。
(5)总承包项目经理部是否应对深基坑作业人员进行安全技术交底?如需要,应由谁进行交底?是否需要保存安全技术交底记录?

35、背景
某省博物馆建筑工程,被省政府列为重点工程项目,招标人考虑到工程本身技术难度大,结构类型复杂,一般的建筑企业难以胜任,遂决定采用邀请招标的方式招标,并于2008年3月8日向通过资格预审的A、B、C、D、E五家施工承包企业发出了投标邀请书,五家企业均接受邀请并购买了招标文件,招标文件规定,2008年5月10日上午9时为投标截止时间。
在投标截止时间之前,A、C、D、E四家企业提交了投标文件,8企业由于路途遇到交通管制其投标文件于2008年5月10日上午9时15分送达。2008年5月11日上午在当地招投标监督管理办公室主任主持下进行了公开开标。
评标委员会由7人组成,其中当地招投标监督管理办公室1人、公证机构1人、招标人代表1人、技术经济专家4人。评标过程中,评标委员会发现A企业投标文件无法定代表人签字和单位公章。后经评标委员会评标确定D企业中标,2008年5月1513招标人向D企业发出了中标通知书,2008年6月25日双方签订了书面合同。
问题
(1)招标人自行决定采用邀请招标方式的做法是否妥当?请说明理由。
(2)A和B企业的投标文件是否有效?分别说明理由。
(3)请指出开标工作的不妥之处,请说明理由。
(4)请指出评标委员会组成的不妥之处,并说明理由。
(5)招标人签订合同的13期是否妥当?请说明理由。

百分百考试网 考试宝典

立即免费试用